AcousticRadiationValue[pred,vars,pars]
represents a time or frequency radiation boundary condition for PDEs with predicate pred indicating where it applies, with model variables vars and global parameters pars.
AcousticRadiationValue[pred,vars,pars,lkey]
represents a time or frequency domain boundary condition with local parameters specified in pars[lkey].
AcousticRadiationValue
AcousticRadiationValue[pred,vars,pars]
represents a time or frequency radiation boundary condition for PDEs with predicate pred indicating where it applies, with model variables vars and global parameters pars.
AcousticRadiationValue[pred,vars,pars,lkey]
represents a time or frequency domain boundary condition with local parameters specified in pars[lkey].
Details
- AcousticRadiationValue specifies a boundary condition for AcousticPDEComponent and is used as part of the modeling equation:
- AcousticRadiationValue is typically used to model sound sources and sinks on the boundary.
- AcousticRadiationValue models a time or frequency domain boundary source or sink with dependent variable pressure
in
, independent variables
in
and time variable
in
or frequency variable
in
. - Time-dependent model variables vars are vars={p[t,x1,…,xn],t,{x1,…,xn}}.
- Frequency-dependent model variables vars are vars={p[x1,…,xn],ω,{x1,…,xn}}.
- The time domain acoustics model AcousticPDEComponent is based on a wave equation with time variable
, density
, sound speed
and sound sources
and
: - The frequency domain acoustics model AcousticPDEComponent is based on a Helmholtz equation with angular frequency
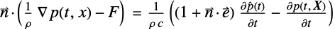
: - The time domain radiation value AcousticRadiationValue with boundary pressure source
, boundary unit normal vector
and unit wave direction vector
models: - The frequency domain radiation value AcousticRadiationValue models:
- The dipole source
will only be valid within the domain and thus can be excluded from the boundary conditions. - Model parameters pars are specified as for AcousticPDEComponent.
- The following model parameters pars can be given:
-
parameter default symbol "BoundaryUnitNormal" Automatic 
"MassDensity" 1
, density of media in 
"Material" Automatic 
"SoundSpeed" 1
, speed of sound in 
"SoundDirectionVector" 
, sound direction vector"SoundIncidentPressure" 0
, sound pressure in 
- The relation between the outward-pointing boundary unit normal vector
and the incident sound wave direction vector
is illustrated in the following: - AcousticRadiationValue combines an AcousticPressureCondition and an AcousticAbsorbingValue.
- AcousticRadiationValue evaluates to a generalized NeumannValue.
- The boundary predicate pred can be specified as in NeumannValue.
- An absorbing boundary can be used with:
-
analysis type applicable Time Domain Yes Frequency Domain Yes Eigenfrequency No - If the AcousticRadiationValue depends on parameters
that are specified in the association pars as …,keypi…,pivi,…, the parameters
are replaced with
.
Examples
open all close allBasic Examples (4)
Set up a time domain acoustic radiation boundary:
Set up a frequency domain acoustic radiation boundary:
Define model variables vars for a frequency domain acoustic pressure field with model parameters pars:
Define silent initial conditions ics:
Set up the equation with an acoustic radiation boundary at the left end, a pressure source
of
and a radiation angle
of
:
Define model variables vars for a frequency domain acoustic pressure field with model parameters pars:
Set up the equation with an acoustic radiation boundary at the left end, a pressure source
of
and a radiation angle
of
:
Visualize the sound field in the frequency domain at various frequencies
:
Tech Notes
Related Guides
History
Text
Wolfram Research (2020), AcousticRadiationValue, Wolfram Language function, https://reference.wolfram.com/language/ref/AcousticRadiationValue.html.
CMS
Wolfram Language. 2020. "AcousticRadiationValue." Wolfram Language & System Documentation Center. Wolfram Research. https://reference.wolfram.com/language/ref/AcousticRadiationValue.html.
APA
Wolfram Language. (2020). AcousticRadiationValue. Wolfram Language & System Documentation Center. Retrieved from https://reference.wolfram.com/language/ref/AcousticRadiationValue.html
BibTeX
@misc{reference.wolfram_2025_acousticradiationvalue, author="Wolfram Research", title="{AcousticRadiationValue}", year="2020", howpublished="\url{https://reference.wolfram.com/language/ref/AcousticRadiationValue.html}", note=[Accessed: 11-December-2025]}
BibLaTeX
@online{reference.wolfram_2025_acousticradiationvalue, organization={Wolfram Research}, title={AcousticRadiationValue}, year={2020}, url={https://reference.wolfram.com/language/ref/AcousticRadiationValue.html}, note=[Accessed: 11-December-2025]}