SurfaceIntegrate[f,{x,y,…}∈surface]
computes the scalar surface integral of the function f[x,y,…] over the surface.
SurfaceIntegrate[{p,q,…},{x,y,…}∈surface]
computes the vector surface integral of the vector field {p[x,y,…],q[x,y,…],…}.
SurfaceIntegrate
SurfaceIntegrate[f,{x,y,…}∈surface]
computes the scalar surface integral of the function f[x,y,…] over the surface.
SurfaceIntegrate[{p,q,…},{x,y,…}∈surface]
computes the vector surface integral of the vector field {p[x,y,…],q[x,y,…],…}.
Details and Options
- Surface integrals are also known as flux integrals.
- Scalar surface integrals integrate scalar functions over a hypersurface. They are typically used to compute things like area, mass and charge for a surface.
- Vector surface integrals are used to compute the flux of a vector function through a surface in the direction of its normal. Typical vector functions include a fluid velocity field, electric field and magnetic field.
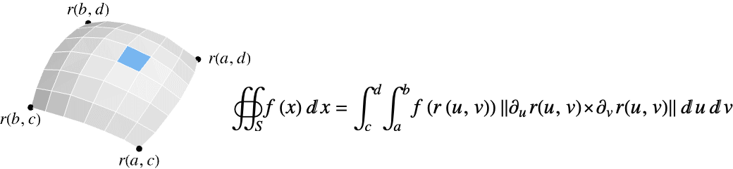
- The scalar surface integral of a function f over a surface
is given by: - where
is the measure of a parametric surface element. - The scalar surface integral of f over a hypersurface
is given by: - The scalar surface integral is independent of the parametrization and orientation of the surface. Any
dimensional RegionQ object in
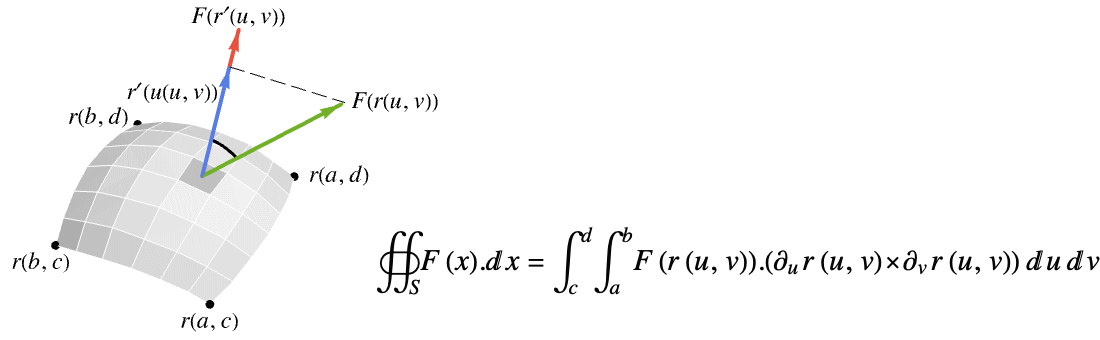
can be used for the surface. - The vector surface integral of a vector function
over a surface
is given by: - where
is the projection of the vector function
onto the normal direction so only the component in the normal direction gets integrated. - The vector surface integral of
over a a hypersurface
is given by: - The vector surface integral is independent of the parametrization, but depends on the orientation.
- The orientation for a hypersurface is given by a normal vector field
over the surface. - For a parametric hypersurface ParametricRegion[{r1[u1,…,un-1],…,rn[u1,…,un-1]},…], the normal vector field
is taken to be Cross[∂u1r[u],…,∂un-1r[u]]. - The RegionQ objects in Wolfram Language are not oriented. However for the convenience of this function, you can assume the following rules for getting oriented hypersurfaces.
- For solid (of dimension
) and bounded RegionQ objects ℛ, take the surface to be the region boundary (RegionBoundary[ℛ]) and the normal orientation to be pointed outward. - Special solids in
with their assumed boundary surface (edge) normal orientation include: -

Triangle outward normal 
Rectangle outward normal 
Polygon outward normal 
Disk outward normal 
Ellipsoid outward normal 
Annulus outward normal - Special solids in
with their assumed boundary surface (face) normal orientation include: -

Tetrahedron outward normal 
Cuboid outward normal 
Polyhedron outward normal 
Ball outward normal 
Ellipsoid outward normal 
Cylinder outward normal 
Cone outward normal - Special solids in
with their assumed surface (facet) and normal orientation: -

Simplex outward normal 
Cuboid outward normal 
Ball outward normal 
Ellipsoid outward normal - The coordinates on the surface can be specified using VectorSymbol. »
- The following options can be given:
-
Assumptions $Assumptions assumptions to make about parameters GenerateConditions Automatic whether to generate answers that involve conditions on parameters WorkingPrecision Automatic the precision used in internal computations - SurfaceIntegrate uses a combination of symbolic and numerical methods when the input involves inexact quantities.
Examples
open all close allBasic Examples (7)
Surface integral of a scalar function over a spherical surface:
Surface integral of a vector field over a spherical surface:
Surface integral of a scalar field over a parametric surface:
Surface integral of a vector field over a parametric surface:
Surface integral of a scalar field over a surface:
Visualize the scalar field on the surface:
Surface integral of a vector field over a surface:
Visualize the scalar field on the surface:
Use VectorSymbol:
Scope (32)
Basic Uses (5)
Surface integral of a scalar field over a sphere in three dimensions:
Surface integral of a vector field in three dimensions:
SurfaceIntegrate works with many special surfaces:
Surface integral over a parametric surface:
SurfaceIntegrate works in dimensions different from three:
Scalar Functions (5)
Surface integral of a scalar field over a three-dimensional surface:
Surface integral of a scalar field:
Surface integral of a scalar field in three dimensions over a sphere:
Surface integral of a scalar field over the surface of a pyramid:
Surface integral of a scalar field over a parametric surface in three dimensions:
Vector Functions (5)
Surface integral of a vector field in three dimensions over a sphere:
Visualize the vector field on the surface:
Surface integral of a vector field in three dimensions over a triangle:
Surface integral of a vector field over a parametric surface in three dimensions:
Surface integral of a vector field over the boundary of an ellipsoid:
Surface integral of a vector field in three dimensions over the boundary of a cone:
Special Surfaces (10)
Surface integral of a vector field over a sphere of radius
:
Surface integral of a vector field over the boundary of a cube of side
centered at the origin:
Surface integral of a vector field over the boundary of a tetrahedron:
Surface integral of a vector field over a triangle:
Surface integral of a vector field over an ellipsoid:
Surface integral of a vector field over the boundary of a cone:
Surface integral of a vector field over the boundary of a cylinder:
Surface integral of a vector field over the boundary of a parallelepiped:
Surface integral of a vector field over the boundary of a prism:
Surface integral over a polygon in three dimensions:
The orientation of the polygon depends on the order in which the points are given:
Parametric Surfaces (4)
Options (4)
Assumptions (1)
Assumptions can be specified for symbolic parameters:
With Assumptions, a result valid under the given assumptions is given:
GenerateConditions (1)
SurfaceIntegrate can work with symbolic parameters:
WorkingPrecision (2)
If a WorkingPrecision is specified, a numerical result is given:
The result has finite precision if the integrand has a finite precision:
Applications (18)
College Calculus (5)
Volumes (3)
Flux (3)
Flux of the electric field generated by a point charge
at the origin over a sphere surrounding it:
Flux of the uniform magnetic field of an infinite solenoid with
windings per unit length traversed by a current
over a disk orthogonal to it:
Electric field due to an infinite charged wire of linear charge density
:
Flux across a cylinder of height
and radius
having the axis on the charged wire:
Centroids (2)
Classical Theorems (2)
Compute the Curl
of a vector field
:
The surface integral of
over an open surface is:
This is the same as the line integral of
over the boundary of the surface:
Compute the surface integral of a vector field
over a closed surface:
This is the same as the integral of Div[f] over the interior of the surface:
Properties & Relations (5)
Apply N[SurfaceIntegrate[...]] to obtain a numerical solution if the symbolic calculation fails:
Find the center of mass of a thin triangular surface of unit mass per unit area:
Find the
component of the center of mass:
Find the
component of the center of mass:
Find the
component of the center of mass:
The center of mass can also be obtained using RegionCentroid:
Find the moment of inertia around the
axis of a thin cylindrical shell of unit area density:
The answer can also be computed with MomentOfInertia:
Find the area of a tetrahedron:
The answer can also be computed with Area:
Find the volume of a icosahedron:
The answer can also be computed with Volume:
Neat Examples (9)
Volume of a pseudosphere computed using a surface integral:
Plot of a finite part of the pseudosphere:
Volume of a drop-shaped solid using a surface integral:
Flux of a vector field across a part of a Bohemian dome:
Surface integral of a vector field over a portion of a conocuneus of Wallis:
Surface integral of a vector field over a funnel-shaped surface:
Related Guides
Text
Wolfram Research (2023), SurfaceIntegrate, Wolfram Language function, https://reference.wolfram.com/language/ref/SurfaceIntegrate.html (updated 2025).
CMS
Wolfram Language. 2023. "SurfaceIntegrate." Wolfram Language & System Documentation Center. Wolfram Research. Last Modified 2025. https://reference.wolfram.com/language/ref/SurfaceIntegrate.html.
APA
Wolfram Language. (2023). SurfaceIntegrate. Wolfram Language & System Documentation Center. Retrieved from https://reference.wolfram.com/language/ref/SurfaceIntegrate.html
BibTeX
@misc{reference.wolfram_2025_surfaceintegrate, author="Wolfram Research", title="{SurfaceIntegrate}", year="2025", howpublished="\url{https://reference.wolfram.com/language/ref/SurfaceIntegrate.html}", note=[Accessed: 11-December-2025]}
BibLaTeX
@online{reference.wolfram_2025_surfaceintegrate, organization={Wolfram Research}, title={SurfaceIntegrate}, year={2025}, url={https://reference.wolfram.com/language/ref/SurfaceIntegrate.html}, note=[Accessed: 11-December-2025]}