HeatInsulationValue[pred,vars,pars]
represents a thermal insulation boundary condition for PDEs with predicate pred indicating where it applies, with model variables vars and global parameters pars.
HeatInsulationValue[pred,vars,pars,lkey]
represents a thermal insulation boundary condition with local parameters specified in pars[lkey].
HeatInsulationValue
HeatInsulationValue[pred,vars,pars]
represents a thermal insulation boundary condition for PDEs with predicate pred indicating where it applies, with model variables vars and global parameters pars.
HeatInsulationValue[pred,vars,pars,lkey]
represents a thermal insulation boundary condition with local parameters specified in pars[lkey].
Details
- HeatInsulationValue specifies a boundary condition for HeatTransferPDEComponent and is used as part of the modeling equation:
- HeatInsulationValue is typically used to model insulation and is also called adiabatic boundary condition.
- HeatInsulationValue models a boundary where there is no heat flux across it with dependent variable
in [
], independent variables
in [
] and time variable
in [
]. - Stationary variables vars are vars={Θ[x1,…,xn],{x1,…,xn}}.
- Time-dependent variables vars are vars={Θ[t,x1,…,xn],t,{x1,…,xn}}.
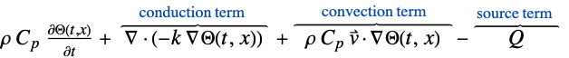
- The non-conservative time-dependent heat transfer model HeatTransferPDEComponent is based on a convection-diffusion model with mass density
, specific heat capacity
, thermal conductivity
, convection velocity vector
and heat source
: - In the non-conservative form, HeatInsulationValue with the boundary unit normal
models: - Model parameters pars as specified for HeatTransferPDEComponent.
- The following additional model parameters pars can be given:
-
parameter default symbol "BoundaryUnitNormal" Automatic 
"ModelForm" "NonConservative" - - HeatInsulationValue is a special case of HeatFluxValue where the heat flux coefficient is 0.
- HeatInsulationValue evaluates to a NeumannValue.
- The boundary predicate pred can be specified as in NeumannValue.
- If the HeatInsulationValue depends on parameters
that are specified in the association pars as …,keypi…,pivi,…, the parameters
are replaced with
.
Examples
open all close allBasic Examples (2)
Set up a thermal insulation boundary condition:
Model a temperature field and a thermal insulation and a thermal heat flux boundary with:
Set up the heat transfer model variables
:
Specify heat transfer model parameters mass density
, specific heat capacity
and thermal conductivity
:
Tech Notes
Related Guides
History
Text
Wolfram Research (2020), HeatInsulationValue, Wolfram Language function, https://reference.wolfram.com/language/ref/HeatInsulationValue.html.
CMS
Wolfram Language. 2020. "HeatInsulationValue." Wolfram Language & System Documentation Center. Wolfram Research. https://reference.wolfram.com/language/ref/HeatInsulationValue.html.
APA
Wolfram Language. (2020). HeatInsulationValue. Wolfram Language & System Documentation Center. Retrieved from https://reference.wolfram.com/language/ref/HeatInsulationValue.html
BibTeX
@misc{reference.wolfram_2025_heatinsulationvalue, author="Wolfram Research", title="{HeatInsulationValue}", year="2020", howpublished="\url{https://reference.wolfram.com/language/ref/HeatInsulationValue.html}", note=[Accessed: 17-April-2026]}
BibLaTeX
@online{reference.wolfram_2025_heatinsulationvalue, organization={Wolfram Research}, title={HeatInsulationValue}, year={2020}, url={https://reference.wolfram.com/language/ref/HeatInsulationValue.html}, note=[Accessed: 17-April-2026]}