HeatTransferPDEComponent[vars,pars]
yields a heat transfer PDE term with variables vars and parameters pars.
HeatTransferPDEComponent
HeatTransferPDEComponent[vars,pars]
yields a heat transfer PDE term with variables vars and parameters pars.
Details
- HeatTransferPDEComponent returns a sum of differential operators to be used as a part of partial differential equations:
- HeatTransferPDEComponent models the generation and propagation of thermal energy in physical systems by mechanisms such as convection, conduction and radiation.
- HeatTransferPDEComponent models heat transfer phenomena with dependent variable temperature
in [
], independent variables
in [
] and time variable
in [
]. - Stationary variables vars are vars={Θ[x1,…,xn],{x1,…,xn}}.
- Time-dependent variables vars are vars={Θ[t,x1,…,xn],t,{x1,…,xn}}.
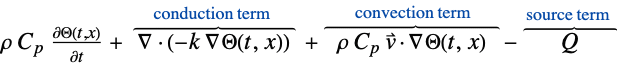
- The non-conservative time-dependent heat transfer model HeatTransferPDEComponent is based on a convection-diffusion model with mass density
, specific heat capacity
, thermal conductivity
, convection velocity vector
and heat source
: - The non-conservative stationary heat transfer PDE term is given by:
- The implicit default boundary condition for the non-conservative model is a HeatOutflowValue.
- The difference between the non-conservative model and the conservative model is the treatment of a convection velocity
. - The units of the heat transfer model terms are in [
], or equivalently in [
]. - The following parameters pars can be given:
-
parameter default symbol "HeatConvectionVelocity" {0,…}
, flow velocity [
]"HeatSource" 0
, heat source [
]"MassDensity" 1
, density [
]
"Material" Automatic 
"ModelForm" "NonConservative" none "RegionSymmetry" None 
"SpecificHeatCapacity" 1
, specific heat capacity [
]"ThermalConductivity" IdentityMatrix
, thermal conductivity [![TemplateBox[{InterpretationBox[, 1], {"W", , "/(", , "m", , "K", , ")"}, watts per meter kelvin, {{(, "Watts", )}, /, {(, {"Meters", , "Kelvins"}, )}}}, QuantityTF] TemplateBox[{InterpretationBox[, 1], {"W", , "/(", , "m", , "K", , ")"}, watts per meter kelvin, {{(, "Watts", )}, /, {(, {"Meters", , "Kelvins"}, )}}}, QuantityTF]](Files/HeatTransferPDEComponent.en/30.png)
- All parameters may depend on any of
,
and
, as well as other dependent variables. - The number of independent variables
determines the dimensions of
and the length of
. - Sometimes the heat equation is specified with a thermal diffusivity. The thermal diffusivity is the thermal conductivity divided by the density and the specific heat capacity at constant pressure.
- The thermal convection velocity specifies the velocity
with which a fluid transports heat. If no fluid is present, the thermal convection velocity is 0. - A heat source
models thermal energy that is introduced (positive) or removed (negative) from the system. - A possible choice for the parameter "RegionSymmetry" is "Axisymmetric".
- "Axisymmetric" region symmetry represents a truncated cylindrical coordinate system where the cylindrical coordinates are reduced by removing the angle variable as follows:
-
dimension reduction equation 1D 

2D 

- The input specification for the parameters is exactly the same as for their corresponding operator terms.
- Coupled equations can be generated with the same input specification as with the corresponding operator terms.
- If no parameters are specified, the default heat transfer PDE is:
- If the HeatTransferPDEComponent depends on parameters
that are specified in the association pars as …,keypi…,pivi,…, the parameters
are replaced with
.
Examples
open all close allBasic Examples (4)
Scope (7)
Basic Examples (2)
1D (1)
2D (1)
Model a ceramic strip that is embedded in a high-thermal-conductive material. The side boundaries of the strip are maintained at a constant temperature
. The top surface of the strip is losing heat via both heat convection and heat radiation to the ambient environment at
. The bottom boundary is assumed to be thermally insulated:
Model a temperature field and the thermal radiation and thermal transfer with:
Set up the heat transfer model variables
:
Set up a rectangular domain with a width of
and a height of
:
Specify thermal conductivity
:
Set up temperature surface boundary conditions
at the left and right boundaries:
Set up a heat transfer boundary condition on the top surface:
Also set up a thermal radiation boundary condition on the top surface:
3D (1)
Model a temperature field with two heat conditions at the sides and an orthotropic thermal conductivity
:
Set up the heat transfer model variables
:
Specify an orthotropic thermal conductivity
:
Specify heat surface conditions:
Set up the equation with a thermal heat flux
of
applied at the left end for the first 300 seconds:
Time Dependent (1)
Model a temperature field and a thermal heat flux through part of the boundary with:
Set up the heat transfer model variables
:
Specify heat transfer model parameters mass density
, specific heat capacity
and thermal conductivity
:
Specify a thermal heat flux
of
applied at the left end for the first 300 seconds:
Set up the equation with a thermal heat flux
of
applied at the left end for the first 300 seconds:
Time-Dependent Nonlinear (1)
Model a temperature field with a nonlinear heat conductivity term with:
Set up the heat transfer model variables
:
Specify heat transfer model parameters mass density
, specific heat capacity
and a nonlinear thermal conductivity
:
Specify a thermal heat flux
of
applied at the left end for the first 300 seconds:
Set up the equation with a thermal heat flux
of
applied at the left end for the first 300 seconds:
Applications (7)
Boundary Conditions (5)
Compute the temperature field with model variables
and parameters
with a thermal surface
of
at the left boundary:
Visualize the solution and note the sinusoidal temperature change on the left:
Compute the temperature field with model variables
parameters
:
Set up the equation with a thermal outflow boundary at the right end:
Define the initial temperature field:
Visualize the solution and note how the energy leaves the domain through the thermal outflow boundary on the right:
Model a temperature field and a thermal radiation boundary with:
Set up the heat transfer model variables
:
Specify heat transfer model parameters mass density
, specific heat capacity
and thermal conductivity
:
Specify boundary condition parameters with a constant ambient temperature
of
and a surface emissivity
of
:
Model a temperature field with heat transfer boundary:
Set up the heat transfer model variables
:
Specify heat transfer model parameters mass density
, specific heat capacity
and thermal conductivity
:
Specify boundary condition parameters with an external flow temperature
of
and a heat transfer coefficient
of
:
Model a temperature field and a thermal insulation and a thermal heat flux boundary with:
Set up the heat transfer model variables
:
Specify heat transfer model parameters mass density
, specific heat capacity
and thermal conductivity
:
Coupled Equations (2)
Solve a coupled heat and mass transport model:
Set up the heat transfer mass transport model variables
:
Specify heat transfer and mass transport model parameters, heat source
, thermal conductivity
, mass diffusivity
and mass source
:
Set up the model and initial conditions:
Solve a coupled heat transfer and mass transport model with a thermal transfer value and a mass flux value on the boundary:
Set up the heat transfer mass transport model variables
:
Specify heat transfer and mass transport model parameters, heat source
, thermal conductivity
, mass diffusivity
and mass source
:
Specify boundary condition parameters for a thermal convection value with an external flow temperature
of 1000 K and a heat transfer coefficient
of
:
Possible Issues (1)
For symbolic computation, the "ThermalConductivity" parameter should be given as a matrix:
For numeric values, the "ThermalConductivity" parameter is automatically converted to a matrix of proper dimensions:
This automatic conversion is not possible for symbolic input:
Not providing the properly dimensioned matrix will result in an error:
Tech Notes
Related Guides
Text
Wolfram Research (2020), HeatTransferPDEComponent, Wolfram Language function, https://reference.wolfram.com/language/ref/HeatTransferPDEComponent.html (updated 2022).
CMS
Wolfram Language. 2020. "HeatTransferPDEComponent." Wolfram Language & System Documentation Center. Wolfram Research. Last Modified 2022. https://reference.wolfram.com/language/ref/HeatTransferPDEComponent.html.
APA
Wolfram Language. (2020). HeatTransferPDEComponent. Wolfram Language & System Documentation Center. Retrieved from https://reference.wolfram.com/language/ref/HeatTransferPDEComponent.html
BibTeX
@misc{reference.wolfram_2025_heattransferpdecomponent, author="Wolfram Research", title="{HeatTransferPDEComponent}", year="2022", howpublished="\url{https://reference.wolfram.com/language/ref/HeatTransferPDEComponent.html}", note=[Accessed: 13-April-2026]}
BibLaTeX
@online{reference.wolfram_2025_heattransferpdecomponent, organization={Wolfram Research}, title={HeatTransferPDEComponent}, year={2022}, url={https://reference.wolfram.com/language/ref/HeatTransferPDEComponent.html}, note=[Accessed: 13-April-2026]}

