HeatTransferValue[pred,vars,pars]
represents a thermal transfer boundary condition for PDEs with predicate pred indicating where it applies, with model variables vars and global parameters pars.
HeatTransferValue[pred,vars,pars,lkey]
represents a thermal transfer boundary condition with local parameters specified in pars[lkey].
HeatTransferValue
HeatTransferValue[pred,vars,pars]
represents a thermal transfer boundary condition for PDEs with predicate pred indicating where it applies, with model variables vars and global parameters pars.
HeatTransferValue[pred,vars,pars,lkey]
represents a thermal transfer boundary condition with local parameters specified in pars[lkey].
Details
- HeatTransferValue specifies a boundary condition for HeatTransferPDEComponent and is used as part of the modeling equation:
- HeatTransferValue is typically used to model the effect of a cooling or heating flow outside the simulation domain. Common examples include a heat sink.
- HeatTransferValue models thermal energy transferred across a boundary with dependent variable temperature
[
], independent variables
in [
] and time variable
in [
]. - Stationary variables vars are vars={Θ[x1,…,xn],{x1,…,xn}}.
- Time-dependent variables vars are vars={Θ[t,x1,…,xn],t,{x1,…,xn}}.
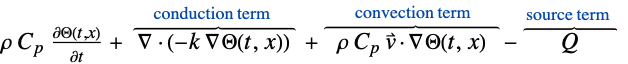
- The non-conservative time-dependent heat transfer model HeatTransferPDEComponent is based on a convection-diffusion model with mass density
, specific heat capacity
, thermal conductivity
, convection velocity vector
and heat source
: - The heat transfer value HeatTransferValue with heat transfer coefficient
in units of [
] and external temperature
[
] and boundary unit normal
models: - Model parameters pars as specified for HeatTransferPDEComponent.
- The following additional model parameters pars can be given:
-
parameter default symbol "AmbientTemperature" - 0
, ambient temperature [
]"HeatTransferCoefficient" 
, heat transfer coefficient [
] - To localize model parameters, a key lkey can be specified, and values from association pars[lkey] are used for model parameters.
- All model parameters may depend on any of
,
and
, as well as other dependent variables. - HeatTransferValue is a special case of HeatFluxValue.
- HeatTransferValue evaluates to a generalized NeumannValue.
- The boundary predicate pred can be specified as in NeumannValue.
- If the HeatTransferValue depends on parameters
that are specified in the association pars as …,keypi…,pivi,…, the parameters
are replaced with
.
Examples
open all close allBasic Examples (2)
Set up a thermal convection boundary condition:
Model a temperature field with heat transfer boundary:
Set up the heat transfer model variables
:
Specify heat transfer model parameters mass density
, specific heat capacity
and thermal conductivity
:
Specify boundary condition parameters with an external flow temperature
of 10 °C and a heat transfer coefficient
of
:
Scope (4)
Basic Examples (2)
Define model variables vars for a transient acoustic pressure field with model parameters pars and a specific boundary condition parameter:
Define model variables vars for a transient acoustic pressure field with model parameters pars and multiple specific parameter boundary conditions:
2D (1)
Model a ceramic strip that is embedded in a high-thermal-conductive material. The side boundaries of the strip are maintained at a constant temperature
. The top surface of the strip is losing heat via both heat convection and heat radiation to the ambient environment at
. The bottom boundary, however, is assumed to be thermally insulated:
Model a temperature field and the thermal radiation and thermal transfer with:
Set up the heat transfer model variables
:
Set up a rectangular domain with a width of
and a height of
:
Specify thermal conductivity
:
Set up temperature surface boundary conditions
at the left and right boundaries:
Set up a heat transfer boundary condition on the top surface:
Also set up a thermal radiation boundary condition on the top surface:
Coupled Equations (1)
Solve a coupled heat transfer and mass transport model with a thermal transfer value and a mass flux value on the boundary:
Set up the heat transfer mass transport model variables
:
Specify heat transfer and mass transport model parameters, heat source
, thermal conductivity
, mass diffusivity
and mass source
:
Specify boundary condition parameters for a thermal convection value with an external flow temperature
of 1000 K and a heat transfer coefficient
of
:
Tech Notes
Related Guides
History
Text
Wolfram Research (2020), HeatTransferValue, Wolfram Language function, https://reference.wolfram.com/language/ref/HeatTransferValue.html.
CMS
Wolfram Language. 2020. "HeatTransferValue." Wolfram Language & System Documentation Center. Wolfram Research. https://reference.wolfram.com/language/ref/HeatTransferValue.html.
APA
Wolfram Language. (2020). HeatTransferValue. Wolfram Language & System Documentation Center. Retrieved from https://reference.wolfram.com/language/ref/HeatTransferValue.html
BibTeX
@misc{reference.wolfram_2025_heattransfervalue, author="Wolfram Research", title="{HeatTransferValue}", year="2020", howpublished="\url{https://reference.wolfram.com/language/ref/HeatTransferValue.html}", note=[Accessed: 11-December-2025]}
BibLaTeX
@online{reference.wolfram_2025_heattransfervalue, organization={Wolfram Research}, title={HeatTransferValue}, year={2020}, url={https://reference.wolfram.com/language/ref/HeatTransferValue.html}, note=[Accessed: 11-December-2025]}
