HeatRadiationValue[pred,vars,pars]
represents a thermal radiation boundary condition for PDEs with predicate pred indicating where it applies, with model variables vars and global parameters pars.
HeatRadiationValue[pred,vars,pars,lkey]
represents a thermal radiation boundary condition with local parameters specified in pars[lkey].
HeatRadiationValue
HeatRadiationValue[pred,vars,pars]
represents a thermal radiation boundary condition for PDEs with predicate pred indicating where it applies, with model variables vars and global parameters pars.
HeatRadiationValue[pred,vars,pars,lkey]
represents a thermal radiation boundary condition with local parameters specified in pars[lkey].
Details
- HeatRadiationValue specifies a boundary condition for HeatTransferPDEComponent and is used as part of the modeling equation:
- HeatRadiationValue is typically used to model heating or cooling through radiation on some part of the boundary. Common examples include an electrical radiator or a fireplace.
- HeatRadiationValue models heating or cooling through radiation with dependent variable
[
], independent variables
in [
] and time variable
in [
]. - Stationary variables vars are vars={Θ[x1,…,xn],{x1,…,xn}}.
- Time-dependent variables vars are vars={Θ[t,x1,…,xn],t,{x1,…,xn}}.
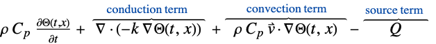
- The non-conservative time-dependent heat transfer model HeatTransferPDEComponent is based on a convection-diffusion model with mass density
, specific heat capacity
, thermal conductivity
, convection velocity vector
and heat source
: - The thermal radiation value HeatRadiationValue with
the dimensionless emissivity,
the Boltzmann constant,
an ambient temperature and
a reference temperature and boundary unit normal
models: - The emissivity
is the effectiveness of a material emitting heat and can have a value in the range of
. - Model parameters pars as specified for HeatTransferPDEComponent.
- The following additional model parameters pars can be given:
-
parameter default symbol "AmbientTemperature" - 0
, ambient temperature [
]"BoltzmannConstant" 
, Boltzmann constant [
]"Emissivity" 1 
"ReferenceTemperature" 0
, reference temperature [
] - The Boltzmann constant has units [
] and the temperatures of the PDE model need to be specified in Kelvin. - The "BoltzmannConstant" parameter can only be specified in pars, not with lkey.
- The default reference temperature is 0 Kelvin, but other units can be used after a conversion.
- The ambient temperature
and the reference temperature
can be nonlinear functions of time
, space
and the dependent variable
. - To localize model parameters, a key lkey can be specified, and values from association pars[lkey] are used for model parameters.
- All model parameters may depend on any of
,
and
, as well as other dependent variables. - HeatRadiationValue is a special case of a HeatFluxValue.
- HeatRadiationValue evaluates to a generalized NeumannValue.
- The boundary predicate pred can be specified as in NeumannValue.
- If the HeatRadiationValue depends on parameters
that are specified in the association pars as …,keypi…,pivi,…, the parameters
are replaced with
.
Examples
open all close allBasic Examples (2)
Set up a thermal radiation boundary condition:
Model a temperature field and a thermal radiation boundary with:
Set up the heat transfer model variables
:
Specify heat transfer model parameters mass density
, specific heat capacity
and thermal conductivity
:
Specify boundary condition parameters with a constant ambient temperature
of –25 °C and a surface emissivity
of
:
Scope (6)
Basic Examples (5)
Define model variables vars for a transient temperature field with model parameters pars and a specific boundary condition parameter:
Define model variables vars for a transient temperature field with model parameters pars and multiple specific parameter boundary conditions:
Set up a reference temperature of absolute zero in degrees Celsius:
Set up a thermal radiation boundary condition with a reference and ambient temperature in Celsius:
If no value for emissivity
is specified, then an emissivity of 1 is assumed:
Set up a thermal radiation boundary condition with ambient temperature
emissivity
:
2D (1)
Model a ceramic strip that is embedded in a high-thermal-conductive material. The side boundaries of the strip are maintained at a constant temperature
. The top surface of the strip is losing heat via both heat convection and heat radiation to the ambient environment at
. The bottom boundary, however, is assumed to be thermally insulated:
Model a temperature field and the thermal radiation and thermal transfer with:
Set up the heat transfer model variables
:
Set up a rectangular domain with a width of
and a height of
:
Specify thermal conductivity
:
Set up temperature surface boundary conditions
at the left and right boundaries:
Set up a heat transfer boundary condition on the top surface:
Also set up a thermal radiation boundary condition on the top surface:
Applications (1)
Model the temperature field and a thermal radiation boundary with:
Set up the heat transfer model variables
:
Specify heat transfer model parameters density
, specific heat capacity
and thermal conductivity
:
Specify boundary condition parameters with a constant ambient temperature
of
and a surface emissivity
of
:
Tech Notes
Related Guides
Text
Wolfram Research (2020), HeatRadiationValue, Wolfram Language function, https://reference.wolfram.com/language/ref/HeatRadiationValue.html (updated 2022).
CMS
Wolfram Language. 2020. "HeatRadiationValue." Wolfram Language & System Documentation Center. Wolfram Research. Last Modified 2022. https://reference.wolfram.com/language/ref/HeatRadiationValue.html.
APA
Wolfram Language. (2020). HeatRadiationValue. Wolfram Language & System Documentation Center. Retrieved from https://reference.wolfram.com/language/ref/HeatRadiationValue.html
BibTeX
@misc{reference.wolfram_2025_heatradiationvalue, author="Wolfram Research", title="{HeatRadiationValue}", year="2022", howpublished="\url{https://reference.wolfram.com/language/ref/HeatRadiationValue.html}", note=[Accessed: 11-December-2025]}
BibLaTeX
@online{reference.wolfram_2025_heatradiationvalue, organization={Wolfram Research}, title={HeatRadiationValue}, year={2022}, url={https://reference.wolfram.com/language/ref/HeatRadiationValue.html}, note=[Accessed: 11-December-2025]}