HeatSymmetryValue[pred,vars,pars]
represents a thermal symmetry boundary condition for PDEs with predicate pred indicating where it applies, with model variables vars and global parameters pars.
HeatSymmetryValue[pred,vars,pars,lkey]
represents a thermal symmetry boundary condition with local parameters specified in pars[lkey].
HeatSymmetryValue
HeatSymmetryValue[pred,vars,pars]
represents a thermal symmetry boundary condition for PDEs with predicate pred indicating where it applies, with model variables vars and global parameters pars.
HeatSymmetryValue[pred,vars,pars,lkey]
represents a thermal symmetry boundary condition with local parameters specified in pars[lkey].
Details
- HeatSymmetryValue specifies a boundary condition for HeatTransferPDEComponent and is used as part of the modeling equation:
- HeatSymmetryValue is typically used to model a boundary with mirror symmetry along an axis.
- HeatSymmetryValue models a boundary with mirror symmetry with dependent variable
in [
], independent variables
in [
] and time variable
in [
]. - Stationary variables vars are vars={Θ[x1,…,xn],{x1,…,xn}}.
- Time-dependent variables vars are vars={Θ[t,x1,…,xn],t,{x1,…,xn}}.
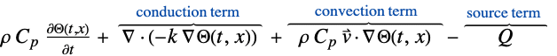
- The non-conservative time-dependent heat transfer model HeatTransferPDEComponent is based on a convection-diffusion model with mass density
, specific heat capacity
, thermal conductivity
, convection velocity vector
and heat source
: - The normal flow velocity
on the symmetry boundary will remain at zero at all times. - HeatSymmetryValue with boundary unit normal
models: - Model parameters pars as specified for HeatTransferPDEComponent.
- The following additional model parameters pars can be given:
-
parameter default symbol "ModelForm" "NonConservative" - - HeatSymmetryValue is effectively the same as HeatFluxValue with a heat flux of 0.
- The boundary predicate pred can be specified as in NeumannValue.
- If the HeatSymmetryValue depends on parameters
that are specified in the association pars as …,keypi…,pivi,…, the parameters
are replaced with
.
Examples
open all close allBasic Examples (2)
Tech Notes
Related Guides
History
Text
Wolfram Research (2020), HeatSymmetryValue, Wolfram Language function, https://reference.wolfram.com/language/ref/HeatSymmetryValue.html.
CMS
Wolfram Language. 2020. "HeatSymmetryValue." Wolfram Language & System Documentation Center. Wolfram Research. https://reference.wolfram.com/language/ref/HeatSymmetryValue.html.
APA
Wolfram Language. (2020). HeatSymmetryValue. Wolfram Language & System Documentation Center. Retrieved from https://reference.wolfram.com/language/ref/HeatSymmetryValue.html
BibTeX
@misc{reference.wolfram_2025_heatsymmetryvalue, author="Wolfram Research", title="{HeatSymmetryValue}", year="2020", howpublished="\url{https://reference.wolfram.com/language/ref/HeatSymmetryValue.html}", note=[Accessed: 15-April-2026]}
BibLaTeX
@online{reference.wolfram_2025_heatsymmetryvalue, organization={Wolfram Research}, title={HeatSymmetryValue}, year={2020}, url={https://reference.wolfram.com/language/ref/HeatSymmetryValue.html}, note=[Accessed: 15-April-2026]}